My Knowledge Blog

Senin, 25 Juni 2018

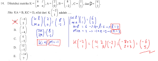
Soal dan Pembahasan Ujian Nasional SMA/MA IPA/MIPA Matematika 2016/2017 ( Soal No.1 - 40 )








































































































Diposting oleh Farhan di 23.31
Kirimkan Ini lewat EmailBlogThis!Bagikan ke XBerbagi ke FacebookBagikan ke Pinterest
Label: Matematika IPA, Pelajaran Sekolah, Pembahasan Soal, SMA, Ujian Nasional

Tidak ada komentar:

Posting Komentar

Posting Lebih Baru Posting Lama Beranda
Langganan: Posting Komentar (Atom)

Mengenai Saya

Farhan
Lihat profil lengkapku

Arsip Blog

  • ▼  2018 (11)
    • ►  Agustus (2)
    • ►  Juli (1)
    • ▼  Juni (8)
      • Soal dan Pembahasan Ujian Nasional SMP Matematika ...
      • Soal dan Pembahasan Ujian Nasional SMA/MA IPS Mate...
      • Soal dan Pembahasan Ujian Nasional SMA/MA IPA/MIPA...
      • Belajar Bahasa Inggris : Perfect Tenses (Past, Pre...
      • Belajar Bahasa Inggris : Penggunaan Continuous Ten...
      • Belajar Bahasa Inggris : Penggunaan Simple Tenses ...
      • Belajar Bahasa Inggris : If Clause/Conditional Sen...
      • Belajar Sejarah Indonesia : Rangkuman Repelita/Pel...
Tema Perjalanan. Diberdayakan oleh Blogger.